مقدمه
جمعیتشناسان برای اولین بار پدیده سالخوردگی جمعیت را در اروپا شناسایی و اعلام کردند. این پدیده بهصورت همهگیر و با سرعت فراوان در اکثر کشورهای جهان استمرار یافت؛ تا جاییکه بنابر نتایج چشمانداز جمعیت جهان، برای اولین بار در سال 2018 تعداد افراد 65 ساله و بالاتر، از کودکان زیر 5 سال پیشی گرفت و تا سال 2050، تعداد افراد 65 ساله یا بیشتر جهان بیش از 2 برابر تعداد کودکان زیر 5 سال خواهد شد. طبق همین برآوردها، در سال 2022 حدود 771 میلیون نفر 65 ساله یا بیشتر در سطح جهان بودند که 3 برابر بیشتر از تعداد آن در سال 1980 (258 میلیون) است. پیشبینی میشود این تعداد تا سال 2050 میلادی به 1/6 میلیارد نفر برسد. رشد جمعیت سالمندان در مناطق درحالتوسعه به مراتب بیشتر از مناطق توسعهیافته است. پیشبینیها نشان میدهد تا سال 2050، حدود 80 درصد جمعیت سالمند در کشورهای درحالتوسعه خواهد بود [1]. ایران هم از این قاعده مستثنی نیست و افزایشی را در تعداد، نسبت و میزان رشد جمعیت سالمندان آغاز کرده و پیشبینی میشود این روند صعودی با شدت بیشتری در دو دهه آینده تداوم یابد، بهطوریکه طبق برآوردهای سازمان ملل متحد درحالیکه جمعیت 65 ساله و بیشتر ایران در سال 2022، برابر با 6.750.000 نفر گزارش شده و این تعداد برای سال 2050 حدود 21.885.000 نفر پیشبینی شده است. همچنین نسبت جمعیت این گروه سنی در بازه زمانی موردنظر از حدود 8 درصد به 22 درصد، و میانه سنی جمعیت از 32/4 به 42/3 سال افزایش مییابد [2]. برایناساس درحالیکه مسئله جمعیتی در نیمه دوم قرن بیستم چگونگی مقابله با انفجار جمعیت بود، در قرن بیستویکم مسئله جمعیتی، کاهش باروری و سالخوردگی جمعیت شده است.
طبق تعریف نظریه کلاسیک گذار جمعیتی، در مرحله دوم گذار جمعیتی، کاهش باروری و استمرار کاهش مرگومیر تا رسیدن باروری به سطح جانشینی ادامه مییابد. سطح جانشینی سطحی است که در آن جمعیت تنها توانایی بازتولید خود را دارد و رشد ذاتی جمعیت صفر میشود. در این مرحله اما رشد طبیعی جمعیت صفر نیست و از هنگام رسیدن باروری به سطح جانشینی تا صفر شدن رشد طبیعی، حدود دو نسل به طول میانجامد. افزایش جمعیت در این بازه زمانی را ممنتوم جمعیت مینامند [3].
در دائرهالمعارف جمعیتشناسی، سالخوردگی جمعیت، تغییرات در توزیع سنی یک جمعیت به سمت نسبتهای بزرگ گروه سنی سالمند از کل جمعیت تعریف شده که پیامد مستقیم گذار باروری (کاهش) و کاهش مرگ در سنین سالمندی است. به این ترتیب که تغییرات در میزانهای باروری و مرگومیر، بهوسیله بزرگتر یا کوچکتر کردن اندازه نسلهای مختلف و درنتیجه تأثیر در الگوی جابهجایی نسلها در هرم سنی بر سالخوردگی جمعیت و افزایش تعداد سالمندان اثر میگذارد [4]. بنابراین برای پاسخ به چرایی و چگونگی سالخورده شدن جمعیتها و بهطور خاص جمعیت ایران باید تأثیر تغییرات میزانهای جمعیتی بر اندازه نسلها را مورد واکاوی قرار داد. برای بررسی و اندازهگیری اثر این تغییرات بر اندازه نسلها میتوان از مفهوم ممنتوم جمعیت استفاده نمود؛ چراکه بنابر تعریف «ممنتوم جمعیت میزان خلاصهای است که پتانسیل روندهای گذشته باروری، مرگومیر و مهاجرت برای تغییر اندازه جمعیت نسلها را محاسبه میکند» [5].
ممنتوم جمعیت به این واقعیت برمیگردد که ویژگیهای یک جمعیت، مثل ساختار سنی، جنسی و شرایط رشد، در هر مقطع زمانی نهتنها حاصل نیروهای فعلی مولد تغییرات جمعیت است، بلکه حاصل تاریخچه آنها نیز میباشد. به همین سیاق، ویژگیهای آتی، لزوماً بازتابی از شرایط فعلی است [6]. برمبنای گزارش چشمانداز سازمان ملل متحد در هر جمعیتی توزیع سنی کنونی آن بهدلیل ممنتوم تأثیر عمدهای بر روند آیندهاش دارد. جوانی نسبی جمعیت امروز جهان تضمین میکند که تعداد زنان در سنین باروری برای سالها و حتی دههها افزایش خواهد یافت. تقریباً دو سوم افزایش پیشبینیشده جمعیت جهان بین سالهای 2022 تا 2050 ناشی از توزیع سنی کنونی جمعیت جهان خواهد بود [1].
مفهوم ممنتوم برای اولین بار توسط کیفیتز در سال 1971 مطرح گردید. کیفیتز درباره ریشههای آن میگوید «مفهوم ممنتوم جمعیت بسط نظریه کلاسیک جمعیت پایا» است که لوتکا در سال 1939 آن را ارائه کرده است. وینسنت در سال 1945 از نظریه پایا برای بیان ویژگی خاصی در توزیع سنی استفاده کرد که آن را «پتانسیل رشد» نامید [7]. پرستون [8، 9] نشان داد ممنتوم جمعیت (بهعبارتدیگر مقادیر ممنتوم بیش از 1) ناشی از رشد بزرگ تعداد موالید بعد از رسیدن باروری به سطح جانشینی نیست، بلکه درنتیجه تاریخچه باروری بالای سطح جانشینی است و به همین دلیل همه رشد ناشی از ممنتوم معمولاً در سنین بالاتر از سنین میانی فرزندآوری رخ میدهد. پرستون و مارتین [10] از این یافته برای تبیین سالخوردگی جمعیت استفاده کردند.
تحقیقات انگشت شماری به بررسی و محاسبه ممنتوم جمعیت ایران پرداخته که از آن جمله میتوان به مقاله مشایخی و مجتهدزاده [11] در نخستین کنفرانس برنامهریزی و توسعه اشاره کرد.
همچنین مطالعه امیرخسروی [12] که به شیوه کیفیتز ممنتوم رشد جمعیت ایران را بررسی کرده است. لیلالنهاری [13] نیز با استفاده از روش کیفیتز و با قرار دادن جمعیت سال 1365 بهعنوان جمعیت پایه به محاسبه اندازه جمعیت ایستای ایران و مدتزمان لازم برای رسیدن به ایستایی پرداخته است. سرایی [14] ممنتوم جمعیت را برخلاف تحقیقات دیگر که در همه آنها از روش کیفیتز استفاده شده بود با استفاده از روش تجربی فرکا محاسبه نموده است. کوششی [15] اما مجدداً با اتخاذ شیوه کیفیتز به محاسبه ممنتوم جمعیت ایران برای سال 1385و پیامدهای آن پرداخته و نتیجهگیری میکند که پیامد مهم ممنتوم، سالخوردگی جمعیت است و درنتیجه کاهش بیشتر باروری، تنها سرعت سالخوردگی جمعیت را بالا میبرد. کوششی و آقایی [16] به بررسی اثر ممنتوم ناشی از تغییرات مرگ بر سالخوردگی جمعیت پرداخته و نشان دادند تغییرات مرگومیر دهه 1360 پتانسیل رشدی ایجاد کرده که تا نیمه قرن پانزدهم ادامه مییابد. در ادامه تحقیقات مذکور در مقاله حاضر، سعی خواهد شد به بررسی اثرات تغییرات جمعیتی دو دهه اخیر بهواسطه ممنتوم ویژه سنی بر سالخوردگی جمعیت کشور پرداخته شود. بهبیاندیگر، سؤال اصلی مطالعه حاضر را میتوان چنین صورتبندی کرد که چگونه تاریخچه میزانهای جمعیتی از طریق ممنتوم باعث سالخورده شدن جمعیت ایران خواهد شد؟
روش مطالعه
این مطالعه به روش تحلیل ثانویه در سطح کل کشور و برای دوره 1375 تا 1395 با بهکارگیری نرمافزار R صورت گرفته است. با استفاده از دادههای سرشماریهای 1375، 1385، 1390 و 1395 [17-21] پس از ارزیابی، تصحیح و تعدیل، توزیع سنی-جنسی جمعیت کشور فراهم گردید. میزانهای باروری از مجموعه برآوردهای موجود (عباسیشوازی [22]، فتحی [23]، عینیزیناب و همکاران [24] و غیره) و میزانهای مرگ نیز به همین صورت از برآوردهای صورتگرفته (نورالهی و همکاران [25]، کوششی و نیاکان [26]، عینیزیناب و همکاران [27]، کوششی [28]، فتحی و همکاران [29]، محبی و ساسانیپور [30] و غیره) تأمین شد.
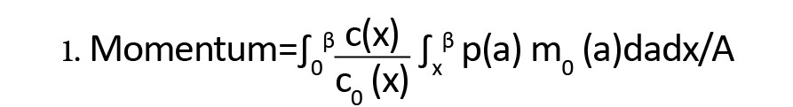
ممنتوم که رشد جمعیت صرفاً تحت تأثیر نوع ساختار سنی و جابهجایی نسلها در توزیع سنی است، از نسبت اندازه جمعیت ایستای معادل جمعیت اولیه بر اندازه جمعیت اولیه به دست میآید. جمعیت ایستا جمعیتی است که در آن رشد جمعیت صفر است. در این حالت، جمعیت در تعادل است، بهطوریکه میزان ولادت و مرگ برابر است و میزان مهاجرت نیز صفر درنظر گرفته میشود. ساختار سنی آن در طول زمان تغییر نمیکند و اندازه آن ثابت است. در این حالت، ممنتوم بازتاب میانگین وزنی انحراف بین توزیع سنی فعلی و توزیع سنی ایستا است (
فرمول شماره 1). انتگرال دوم در معادله وزنهایی است که به هر گروه سنی داده میشود و این وزنها تابع میزانهای باروری و احتمال بقای ویژه سنی هستند؛ و قبل از سنین اولیه باروری مقادیر نسبتاً یکسانی دارند. بعد از سن شروع باروری رفتهرفته کاهش مییابند.بنابراین در سنین ابتدایی فرزندآوری بیشترین مقدار و بعد از آن به سمت صفر کاهش مییابند.

در این معادله (c(x و (p(a بهترتیب نسبت سنی و تابع بقا در جمعیت مشاهدهشده، (A. ،m. (a و (c.(x بهترتیب میزان باروری ویژه سنی، میانگین سن فرزندآوری و نسبت سنی در جمعیت ایستا هستند. اندیس صفر در معادله برای نشان دادن مقادیر باروری سطح جانشینی در جمعیت ایستاست [31].
در این مقاله، محاسبه ممنتوم به این صورت انجام شد که ابتدا هریک از سالهای 1375، 1385، 1390 و 1395 بهعنوان سال پایه درنظر گرفته شد. سپس توزیع سنی-جنسی جمعیتها با افق زمانی 100 سال به شیوه نسلی- ترکیبی تا رسیدن به ایستایی مورد پیشبینی قرار گرفتند. به این منظور فرض شد باروری بهطور ناگهانی به سطح جانشینی برسد. به این ترتیب که میزانهای باروری جمعیت سال پایه بر میزان تجدید نسل خالص (NRR) این جمعیت در آن سال تقسیم گردد. فرض دوم این بود که باروری در سطح جانشینی و مرگ در سطح سال مطالعه در طول دوره پیشبینی ثابت بمانند. در این حالت، طبق
فرمول شماره 2 ممنتوم از نسبت جمعیت ایستای معادل جمعیت پایه (S) بر جمعیت پایه (P) به دست آمد و در واقع ممنتوم از انحراف جمعیت سرشماریشده از حالت ایستای آن به دست آمد.

نکته قابلذکر در محاسبه ممنتوم این است که اگرچه باروری در هریک از این سالها در سطوح مختلفی قرار دارد و سطح مرگ، هرچند اندک، در حال تغییر است، فرض باروری سطح جانشینی و مرگومیر ثابت، به این دلیل است که با کنترل اثر باروری و مرگ، امکان اندازهگیری پتانسیل تغییر اندازه جمعیت منحصراً ناشی از جریان نسلی فراهم شود. نکته دیگر اینکه ایستایی ممکن است قبل از 100 سال (طول دوره پیشبینی) اتفاق افتاده باشد. اما گرفتن بازه 100 ساله به این علت است که بازه زمانی به اندازه کافی بزرگ باشد تا ایستایی در این فاصله حتماً رخ دهد.
درنهایت و در مرحله آخر، با داشتن روند تغییرات توزیع جمعیت در این بازه 100 ساله، شاخص سالمندی، نیز برای هریک از سالها محاسبه میگردد تا تصویر عینیتری از روند سالخوردگی، منحصراً تحت تأثیر ممنتوم جمعیت ارائه گردد. شاخص سالمندی از نسبت تعداد جمعیت 65 ساله و بیشتر بهازای هر 100 نفر جمعیت صفر تا 14 سال به دست میآید.
یافتهها
محاسبه ممنتوم جمعیت کشور
مقادیر جمعیت اولیه و ایستای حاصل از پیشبینیها در
جدول شماره 1 درج شده است.

برایمثال در سال 1375 حدود 29/5 میلیون زن و 30/5 میلیون مرد در کشور وجود داشت. با فرض رسیدن ناگهانی باروری به سطح جانشینی، بسته بودن جمعیت و ثبات مرگ در سطح سال 1375، جمعیت تا پیش از 1475 با 50/7 میلیون زن و 52/1 میلیون مرد به ایستایی میرسد.
پس از محاسبه اندازه جمعیت ایستا، ممنتوم جمعیت کشور در سالهای 1375، 1385، 1390 و 1395 برآورد گردید. طبق
جدول شماره 2 ممنتوم برای زنان و مردان در سال 1375 بهطور مساوی حدود 1/7 به دست آمده است.

این عدد مبیّن آن است که اگر در این سال میزان باروری کل کشور که بالاتر از سطح جانشینی بوده بهطور ناگهانی به سطح جانشینی برسد، جمعیت کشور تا رسیدن به ایستایی، بهدلیل اثر ممنتوم 70 درصد افزایش مییابد. یعنی در دوره 100ساله 1375 تا 1475 (بازه زمانی پیشبینی) اندازه جمعیت 70 درصد رشد میکند و بعد از آن اندازه جمعیت ثابت باقی میماند و رشد جمعیت صفر میشود. چون ممنتوم کل تحتتأثیر تاریخچه اخیر میزانهای موالید است و سال 1375 اگرچه یک دهه از شروع کاهش باروری کشور میگذرد اما میزانهای اخیر باروری آن سال همچنان در سطوح بالایی قرار دارند و نسلهای بزرگ موالید تا قبل از سال 1365 همچنان در سنین زیر فرزندآوری هستند، بنابراین ممنتوم همچنان مقدار بالایی را نشان میدهد.
در بین 4 سال موردبررسی تنها در سال 1375 است که میزان باروری کل بالای سطح جانشینی و برابر با 3/2 فرزند بوده است. اما یک دهه بعد از آن باروری کشور کاهش شدیدی را تجربه کرد و میزان باروری کل به زیر سطح جانشینی یعنی 1/8 فرزند بهازای هر زن رسید. در سال 1385 طبق
تصویر شماره 1 و
جدول شماره 2 ممنتوم کل برابر با 1/5 به دست آمد و این با سطح باروری تا این حد کاهش یافته این سال سازگاری ندارد.

بهعبارتدیگر با فرض برقراری شرایط یک جمعیت پایا، با افت سطح باروری به زیر سطح جانشینی انتظار میرفت که ضریب تغییر جمعیت کشور از دهه 1380 به رقم کمتر از 1 که ممنتوم کل منفی است، کاهش یابد؛ درحالیکه در همه این سالها همچنان این رقم بالاتر از 1 است.
در واقع کاهش باروری تا زیر سطح جانشینی به منفی شدن فوری ممنتوم کل منجر نشده است. در سال 1390 باروری کل همچنان تقریباً برابر با 1/8 فرزند بهازای هر زن است و ممنتوم کل همچنان مثبت است، اما در یک سیر نزولی که از 1375 شروع شده، قرار دارد. در سال 1395 هم اگرچه سطح باروری کشور افزایش یافته اما سیر نزولی ممنتوم کل همچنان ادامه دارد. در این سال همانطور که در مورد سال 1385 گفته شد، تغییر باروری بلافاصله بر افزایش ممنتوم تأثیر نگذاشته است.
ممنتوم ویژه سنی و سالخورگی جمعیت
همانطورکه در معرفی ممنتوم مطرح شد، این مقدار به شیوههای گوناگونی قابلمحاسبه است. در این مطالعه از روش پیشبینی نسلی-ترکیبی استفاده شده است؛ هم بهدلیل دقت آن و هم بهدلیل اینکه اطلاعات موردنیاز برای محاسبه ممنتوم ویژه سنی را تولید میکند. ممنتوم کل، پتانسیل رشد کل ناشی از جریانات نسلی را نشان میدهد و ممنتوم ویژه سنی اثرات جریانات نسلی را تجزیه میکند و تفاوتهای بین گروههای سنی در زمانبندی و بزرگی تغییرات بالقوه را هنگامی که ساختار سنی تغییر میکند، نشان میدهد. در اینجا با استفاده از روش رولند [5]، ممنتوم ویژه سنی بهعنوان تفاوت بین تعداد در هر گروه سنی در نقطهای از زمان و تعداد متناظر آن در جمعیت ایستای نهایی پیشبینیشده از آن تاریخ محاسبه شده است.
پیش از ارائه نتایج ممنتوم، بر مبنای نتایج حاصل از پیشبینی، هرم سنی جمعیت پایه سالهای 1375 تا 1395 همراه با هرم سنی جمعیت ایستای معادل هر کدام (S) در
تصویر شماره 2 نمایش داده شد تا پتانسیل درونی ساختار سنی به تصویر درآید.

بهجز تغییراتی که در سایر گروههای سنی رخ میدهد، بزرگترین تغییر مربوط به گروه سنی آخر است که در سال 1375، نسبت به سایر گروههای سنی کوچکتر است. در سال 1385 گروه سنی آخر اندکی از دو گروه سنی ماقبل بیشتر نشان میدهد. این گروه سنی در سالهای 1390 و 1395 حداقل از دو گروه سنی ماقبل آخر کاملاً بزرگتر است. این موضوع نشاندهنده افزایش تعداد سالمندان در دو دهه 1375 تا 1395 است، اما تغییر اساسی و محرز در این گروه سنی در جمعیت ایستا رخ میدهد، بهطوریکه اندازه گروه سنی 75 سال و بالاتر بهمراتب بزرگتر از سایر گروههای سنی جمعیت ایستا میباشد. هرمهای سنی ایستا، نشاندهنده تغییرات جمعیت صرفاً و تنها ناشی از پتانسیل درونی ساختار سنی و جریان نسلی است. این یعنی جریان نسلی بیش از هر چیز بهطور خاص باعث بزرگ شدن بیسابقه گروه سنی سالمندان میشود.
بهدلیل اینکه مباحث مرتبط با سالخوردگی جمعیت غالباً مبتنی بر سهم جمعیت در گروههای عمده سنی مطرح میشود، نتایج ممنتوم بهجای گروههای سنی 5 ساله بر مبنای این گروهبندی ارائه شده است. نتایج ممنتوم ویژه سنی جمعیت در
جدول شماره 3 و
تصویر شماره 3 ارائه شده است.

در یک نگاه در همه سالها بزرگترین ممنتوم در میان سه گروه بزرگ سنی موردبررسی برای گروه سنی 65 سال و بیشتر مشاهده میشود. مقادیر این شاخص در سال 1375 در گروههای سنی زیر 15 سال، 15 تا 64 سال و 65 سال و بیشتر، بهترتیب، برای زنان 0/92، 2/20 و 6/47 و برای مردان هم در گروه سنی اول و دوم برابر با مقادیر زنان و در گروه سنی سوم کمتر از رقم مردان و برابر با 5/91 به دست آمده است.
الگوی تغییرات ممنتوم گروههای سنی برای دو جنس در مقاطع زمانی بعدی نیز به همین سیاق است و اختلاف قابلتوجهی در ممنتومهای ویژه سنی زنان و مردان مشاهده نمیشود. بنابراین بهطورکلی، ممنتوم گروه سنی زیر 15 سال همواره در حدود 1 و ناچیز است و به معنای عدم افزایش جمعیت این گروه سنی در نتیجه ممنتوم میباشد. اگرچه رقم کمتر از 1 در سال 1375 و برعکس آن، بیش از 1، در سه مقطع بعدی، درحالیکه باروری سال 1385، 1390 و 1395 به مراتب کمتر از 1375 بوده تأمل برانگیز است؛ اما مقادیر بزرگتر و تغییرات اساسی به دو گروه سنی میانی و سالمندی اختصاص دارد. همانطورکه برای سال 1375 نیز مطرح شد بزرگترین ممنتوم برای گروه سنی سالمندی است. بااینحال ممنتوم این گروه سنی و گروه سنی میانی در دوره موردمطالعه همواره رو به کاهش است، بهطوریکه اگر گروه سنی 15 تا 64 سال در 1375 دارای پتانسیل افزایش بیش از 2 برابر پتانسیل افزایش ناشی از ممنتوم را داشت، این مقدار در سال 1395 به حدود 1 رسیده، به این معنا که این گروه سنی دیگر بر اثر ممنتوم سال 1395 پتانسیل افزایش ندارد. اما ممنتوم گروه سنی سالمندی علیرغم اینکه از حدود 6 در سال 1375 به حدود 4 در سال 1395 کاهش یافته است، اما مقدار بزرگ ممنتوم این گروه سنی در سال 1395 نشان از آن دارد که جمعیت گروه سنی 65 ساله و بیشتر همچنان پتانسیل افزایش بالایی دارد.
نتایج پیشبینیای که برای محاسبه ممنتوم سال 1395 به کار گرفته شده است، نمایش تفصیلیتری از نحوه اثرگذاری ممنتوم و ممنتومهای ویژه سنی در تغییر اندازه جمعیت و گروههای سنی ارائه میدهد. روند تغییرات تعداد جمعیت گروههای سنی در سال 1395تا رسیدن به ایستایی و با فرض اینکه تغییرات تنها ناشی از ممنتوم باشد، در
تصویر شماره 4 نمایش داده شده است.

طبق تصویر درحالیکه در سال 1395 جمعیت گروه سنی زیر 15 سال حدود 19 میلیون نفر بود تا 1495 در حدود 20 میلیون نفر افزایش اندکی دارد. گروه سنی 15 تا 64 سال از حدود 56 میلیون در سال 1395 تا سال 1420 افزایش مییابد و در سال 1420 به حداکثر مقدار خود یعنی 66 میلیون میرسد، بعد از آن تا سال 1435 تا 61 میلیون کاهش مییابد و در ادامه تا سال 1495 در همین حدود باقی میماند. گروه سنی 65 سال و بالاتر از حدود 5 میلیون در سال 1395تا سال1440 به اوج مقدار خود یعنی 21 میلیون نفر میرسد. بعد از آن تا سال 1495 مجدداً با نوسانات کوچکی تا 19 میلیون کاهش مییابد. این در حالی است که کل جمعیت کشور از حدود 80 میلیون در سال 1395 تا سال 1440 به حدود 101 میلیون نفر میرسد و بعد از آن تا پایان دوره در همین حدود ایستا میشود. بر این اساس درحالیکه در سال 1395، 24 درصد جمعیت کشور را زیر 15سالهها تشکیل میدهند، این سهم تا 1495 به حدود 19 درصد میرسد. در مقابل، جمعیت 65 ساله و بیشتر از 6 درصد در سال 1395 تا 21 درصد در سال 1440 همواره افزایش دارد و بعد از آن تا سال 1495 در حدود 20 درصد باقی میماند.
براساس دادههای موجود، روند تغییرات شاخص سالخوردگی صرفاً تحتتأثیر ممنتوم محاسبه و در
تصویر شماره 5 نمایش داده شده است.

این شاخص که تعداد افراد 65 سال و بالاتر بهازای هر 100 نفر کمتر از 15 سال است، از 25 در سال 1395 تا سال 1440 روند افزایشی دارد و به 110 میرسد؛ به این ترتیب، بهازای هر 100 نفر صفر تا 14 ساله در سال 1395، 25 نفر و در سال 1440، 110 نفر 65 ساله و بیشتر در جمعیت حضور دارد. بعد از سال 1440 و تا پایان دوره، این شاخص با اندکی کاهش در حدود 100 به ثبات میرسد.
براساس مقادیر حاصل از پیشبینی و طبقهبندی شرایاک و سیگل، از سال 1400 شاخص سالخوردگی کشور به بیش از 30 میرسد و بنابراین طبق طبقهبندی مذکور جمعیت کشور از این سال وارد فاز سالخوردگی جمعیت شده است. بنابراین درحالیکه در دو دهه 1375 تا 1395 کاهش سهم گروه سنی کودکی نقش اصلی را در افزایش شاخص سالخوردگی جمعیت بر عهده داشت (این شاخص از 11 در 1375 به 25 در 1395 رسیده است)، بعد از این سال در نتیجه ممنتوم، حداقل تا سال 1440 افزایش سهم سالمندان نقش اصلی را در افزایش این شاخص خواهد داشت.
بحث
درحالیکه بنابر برآوردها، شاخصهای سالخوردگی جمعیت ایران در دو دهه اخیر در حال افزایش و جمعیت کشور با سرعت زیاد در حال حرکت به سمت سالخوردگی است، در این مقاله سعی شد با استفاده از مفهوم ممنتوم به بررسی پتانسیل سالخوردگی جمعیت کشور پرداخته شود. به این منظور با استفاده از روش پیشبینی نسلی-ترکیبی، ممنتوم از نسبت جمعیت ایستای معادل جمعیت پایه و جمعیت پایه به دست آمد. یافتهها نشان داد مقادیر و روند تغییرات ممنتوم برای زنان و مردان چه در طول ساختار سنی و چه در طول زمان تقریباً مشابه است. همچنین در دوره موردمطالعه مقدار ممنتوم روند کاهشی داشته است. بهعبارتدیگر ممنتوم جمعیت ایران رو به اتمام است. علت این روند را با ارجاع به تعریف ممنتوم، میتوان در کاهش تعداد جمعیت در سنین پایینتر از میانگین سن فرزندآوری توضیح داد. اوج باروری کشور یک دهه پیش از سال 1375 بوده و نسلهای بزرگ موالید دهه 1360 در سال 1375 همچنان در سنین پایینتر از فرزندآوری بودند و بنابراین ممنتوم کل مقدار بالایی (حدود 1/7) داشت؛ اما از میانه دهه 1360 کاهش باروری کشور آغاز گردید تا جاییکه در سال 1385 میزان باروری به زیر سطح جانشینی رسید. بنابراین تعداد جمعیت جوان رو به کاهش نهاد و به کاهش ممنتوم منجر شد. بااینحال متولدین دوره بیشزایی همچنان در جوانی قرار داشته و مقادیر ممنتوم را مثبت نگه داشتند. از سال 1385 تا 1390 باروری ثبات یافت و از سال 1390 تا 1395 باروری موقتاً افزایش و به سطح جانشینی رسید. بااینحال روند کاهشی ممنتوم تا رسیدن به 1/3 در سال 1395 ادامه یافت؛ چراکه نسل بیشزایی که مولد اصلی ممنتوم جمعیت هستند رفتهرفته از سنین فرزندآوری خارج شده و جمعیت جوان، علیرغم افزایشهایی که در باروری مقطعی دیده میشود، رو به کاهش نهاده است.
نتایج ممنتوم در گروههای عمده سنی نیز نشان داد در گروه سنی زیر 15 سال، ممنتوم در حدود 1 و ناچیز است و درواقع گروههای سنی جوان اگرچه خود مولّد ممنتوم هستند، اما تأثیری از آن نمیگیرند. درمقابل، با افزایش سن، افزایش جمعیت گروههای سنی بر اثر ممنتوم بیشتر میشود. ازسویدیگر روند تغییرات ممنتوم دو گروه سنی میانی و سالمندی همانند ممنتوم کل با کاهش همراه بوده است، اما درحالیکه ممنتوم گروه سنی میانی آنچنان کاهش یافته که در سال 1395 تنها 10 درصد قابلیت افزایش جمعیت را دارد، اما ممنتوم گروه سنی سالمندی علیرغم کاهش همچنان میتواند جمعیت سالمندان این سال را تا 4 برابر افزایش دهد. بنابراین میتوان خلاصه کرد که روند ممنتوم بهطورکلی رو به کاهش است و در سنین مختلف هم این کاهش مشاهده میشود. اما کاهش آن بهصورتی است که مقدار آن ابتدا در گروه سنی میانی و بعد از آن در سنین سالمندی به پایان میرسد. این یافته با نتایج مطالعات رولند [5]، کیم و همکاران [32]، کیم و شون [33] همخوانی دارد.
رشد جمعیت ناشی از ممنتوم دارای ویژگی منحصربهفردی است که در این تعریف رولند [5] نیز اشاره شده است: «ممنتوم جمعیت مقداری است که جمعیت را از طریق جابهجایی نسلهای بزرگتر به گروههای سنی سالخوردهتر افزایش میدهد». بهعبارتدیگر ممنتوم باعث افزایش جمعیت همه گروههای سنی نمیشود بلکه افزایشی است که تنها در سنین میانی و بهویژه در سنین سالمندی رخ میدهد. «هنگامیکه نسلهای جوانتر در هرم سنی بالا میروند، ممنتوم جمعیت گروههای سنی میانی و سالمند را بهطور خاص بسط میدهد. برایناساس، سالخوردگی جمعیت نتیجه مستقیم ممنتوم جمعیت است» [32]. رولند [5]در مقاله «ممنتوم جمعیت بهعنوان سنجه سالخوردگی» نشان داد مفهوم ممنتوم جمعیت ماهیّت روند سالخوردگی را آشکار و پایهای برای تحقیقات مقایسهای در طول زمان و بین کشورها فراهم میکند. این مقاله نقش ممنتوم را در تغییر ساختار سنی در طول گذار جمعیتی به بحث گذاشت و روندهای ممنتوم کل و ویژه سنی را در 9 کشور با الگوهای گذار جمعیتی متفاوت ارزیابی کرد و نشان داد استفاده از مفهوم ممنتوم در مطالعه جمعیتشناختی سالخوردگی از تمرکزش بر جریانهای نسلی ناشی میشود.
کیم و شون [33] در مقاله «ممنتوم جمعیت» سالخوردگی جمعیت را بیان میکند و به این نتیجه رسیدند که ممنتوم جمعیت و سالخوردگی جمعیت وقتی اتفاق میافتند که یک جمعیت بدواً در حال رشد، کاهشی در باروری تا سطح جانشینی تجربه کند. آنها اذعان داشتند که بهطور مفهومی و تجربی، البته در مقیاسهای متفاوت، ممنتوم و سالخوردگی تغییر مشابهی را بیان میکنند. بهطور پایهای، آنها دو بیان از روند اساسی تغییر شکل جمعیتی هستند.
براساس یافتهها، تحتتأثیر ممنتوم سال 1395، اولاً براساس طبقهبندی شرایاک و سیگل آغاز قرن 15 آستانه ورود جمعیت ایران به مرحله سالخوردگی جمعیت است. همچنین جمعیت گروه سنی میانی تا 1420 و گروه سنی سالمندی تا 1440 و جمعیت کل کشور تا 1440 افزایش مییابد. بنابراین پایان اثر ممنتوم سال 1395، در کشور در سال 1440 است و حداقل در دو دهه پایانی، افزایش جمعیت کشور تنها ناشی از ممنتوم گروه سنی سالمندی است. بنابراین جمعیت کشور از 1420 تا 1440 صرفاً در نتیجه افزایش تعداد جمعیت سالمندان افزایش مییابد. اما در ادامه، افزایش باروری در دوره 1390 تا 1395 در کنار مقادیر مثبت ممنتوم کل، فزونی میزان ولادت بر مرگ یا بهعبارتی رشد مثبت جمعیت ایران را در این سالها رقم زده است. عباسیشوازی [22] افزایش باروری در این مقطع را ناشی از جبران تأخیر ازداوج و تأخیر در باروری میدانند. همچنان که در تحقیق مذکور هم آمده است، به این دلایل افزایش میزان باروری کل کاملاً مقطعی است. اگر این نتیجه را در کنار روند رو به کاهش ممنتوم کل قرار دهیم، در مجموع استمرار افزایش جمعیت کشور طبق این شواهد از میانه دهه 1450 شمسی نامحتمل مینماید.
همچنین در صورت ثبات شرایط در سال 1395، نسلهای متولدین دوره باروری زیر سطح جانشینی ممنتومهای منفی را ایجاد خواهند کرد و در این شرایط، همانگونه که ممنتوم مثبت باعث بزرگ شدن جمعیت از طریق بزرگ شدن گروههای سنی بالاتر و بهویژه گروه سنی سالمندی میشود، ممنتوم منفی هم با کوچک کردن این گروه سنی باعث کوچک شدن جمعیت میگردد. بنابراین میتوان نتیجهگیری کرد که درصدهای بالای سالمندی امری دائمی نیست و در صورت ثبات شرایط، مقادیر منفی ممنتوم با کوچک کردن گروه سنی سالمندی، جمعیت کل را کاهش میدهد.
نتیجهگیری نهایی
ازاینرو نظام سیاستگذاری در کشور باید برای دو چالش جمعیتی پیشرو آماده شوند. اول سالخوردگی جمعیت کشور که نیازهای متفاوت، تجربهنشده و خاصی را میطلبند؛ و دیگر کاهش جمعیت در سنین فرزندآوری در نتیجه کاهش جمعیت جوانتر. در مورد چالش سالخوردگی و پیامدهای آن از جهت اجتماعی، اقتصادی و غیره به تفصیل بحث شده است. بنابر تحقیق حاضر سالخوردگی جمعیت امری غیرقابلتغییر نیست و بُعدی از جمعیت است که سیاستها با اثرگذاری بر جریان نسلها میتوانند بهطور مستقیم به آن جهت بدهند. بنابراین آمارهای کشوری ممنتوم میتواند بهخوبی پیشرفت مهار رشد گروه سنی سالمندی را نشان دهد. اما چالش دوم دارای پیامدهای بلندمدتی است و راه حل آن افزایش تعداد موالید است.
افزایش موالید از دو راه انجامپذیر است: افزایش تعداد مادران یا افزایش میزان باروری کل. بنابراین نباید تنها بر افزایش میزان باروری کل متمرکز بود بلکه باید در جهت از بین بردن موانع ازدواج و باروری زنان در سنین باروری نیز برنامههایی اتخاذ گردد. چراکه اگرچه تعداد مادران تابع و نتیجه باروری گذشته است و بنابراین افزایش آن غیرممکن اما در این بین همچنان زنانی در سنین باروری حضور دارند که تمایل به فرزندآوری و فرزندآوری بیشتر دارند اما به دلایل مختلف اجتماعی-اقتصادی این امکان برایشان فراهم نیست. در صورت بالفعل کردن این تمایل میتوان همچنان تعداد موالید را افزایش داد.
بااینحال، چالش اصلی این تحقیق در بخش دادهها است. ازآنجاکه این مطالعه بر مبنای تحلیل ثانویه دادههای موجود انجام شده است، وابستگی به دادههای جمعیتی توزیع سنی-جنسی، میزانهای باروری و مرگ بهطور مستقیم بر دقت نتایج تأثیرگذار است. دادههای مربوط به توزیع سنی از سرشماریهای عمومی تأمین شدهاند. بااینحال، میزانهای باروری و مرگ از برآوردهای ارائهشده توسط سایر محققین استخراج گردیدهاند. این دادهها از نظر کمیت و کیفیت ممکن است با مشکلاتی مواجه باشند و در برخی موارد، دقت لازم را نداشته باشند. بنابراین، این محدودیت میتوانند بر دقت محاسبات و پیشبینیهای انجامشده در این تحقیق تأثیر بگذارند.
ازاینرو، اگرچه درخصوص سالخوردگی جمعیت کشور صحبتها و نگرانی زیادی مطرح میشود، اما تحقیقات عمیق و گسترده چندانی بهویژه در سطوح خردتر اعم از استان و شهرستان در این حوزه صورت نپذیرفته است. مطالعاتی هم که در این زمینه انجام شده و شاخصهای سالخوردگی که مبنای توصیف وضعیت ایران استفاده میشود، در مطالعات بینالمللی مورد نقد و بازبینی قرار گرفتهاند و شاخصهای دیگری پیشنهاد شدهاند. برایمثال سندرسون و همکاران [34] با تعریف سن آیندهنگر، آستانه سالمندی را بهجای سن بازنشستگی برپایه امیدزندگی باقیمانده تعریف میکنند و بر اساس این سن، نسبت وابستگی و شاخصهای سالخوردگی دیگری را تعریف کردهاند. این موارد با نقد نسبت وابستگی مرسوم، برای بهبود دقت برآورد شاخصهای سالخوردگی جمعیتها ارائه شدهاند. بر این مبنا لازم است اولاً تحقیقات بیشتر، ثانیاً با روشهای آماری پیشرفتهتر اعم از پیشبینیهای احتمالی و محاسبه مقدار عدم قطعیت برآوردها و ثالثاً با استفاده از شاخصهای روزآمدتر سالخوردگی جمعیت در کشور مطالعه و بررسی شود تا بتوان سیاستها را با دانش کافی تنظیم کرد.
ملاحظات اخلاقی
پیروی از اصول اخلاق پژوهش
این مقاله مبتنی بر تحلیل دادههای ثانویه است و بخشی از رساله دکتری رشته جمعیتشناسی در دانشگاه تهران میباشد. از آنجایی که هیچ آزمایشی روی نمونههای حیوانی یا انسانی انجام نشده است، نیازی به تأیید اخلاقی نیست.
حامی مالی
مقاله برگرفته از رساله دکتری نازنین آقایی در گروه جمعیتشناسی دانشگاه تهران است و هیچگونه کمک مالی از سازمانیهای دولتی، خصوصی و غیرانتفاعی دریافت نکرده است.
مشارکت نویسندگان
همه نویسندگان بهطور یکسان در مفهوم و طراحی مطالعه، جمعآوری و تجزیهوتحلیل دادهها، تفسیر نتایج و تهیه پیشنویس مقاله مشارکت داشتند.
تعارض منافع
بنابه اظهار نویسندگان این مقاله تعارض منافع ندارد.
References
- United Nations. World population prospects 2022: Summary of result. New York: United Nations; 2022. [Link]
- United Nations. Population Division. New York: United Nations; 2022. [Link]
- Shryock HS, Siegel JS, Larmon EA. The Methods and Materials of Demography. Jeffersonville: Department of Commerce, Bureau of the Census; 1980. [Link]
- Demeny P, McNicoll G, Hodgson D. Encyclopedia of Population. Fairfield: Fairfield University; 2003. [Link]
- Rowland DT. Population Momentum as a Measure of Ageing.European Journal of Population. 1996; 12 (1) :41-61. [DOI:10.1007/BF01797165] [PMID]
- Myers GC. Demography of Aging. In: Binstock RH, George LK, editors. Handbook of Aging and the Social Sciences. New York: Academic Press, Inc; 2011. [Link]
- Keyfitz N. On the momentum of population growth. Demography. 1971; 8(1):71-80. [DOI:10.2307/2060339] [PMID]
- Preston SH. The relation between actual and intrinsic growth rates. Population Studies. 1986; 40(3):334-51. [DOI:10.1080/0032472031000142286]
- Preston S.H. Reply to Wachter. Population Studies. 1988; 42: 495-501. [DOI:10.1080/0032472031000143616]
- National Research Council (US) Committee on Population. Demography of Aging. Martin LG, Preston SH, editors. Washington (DC): National Academies Press (US); 1994. [PMID]
- Mashayekhi A, Mojtahedzadeh MT. [Population inertia and growth rate changes in Iran (Persian)]. Proceedings of The First Planning and Development Conference. Tehran: Publications of the Higher Institute of Research in Planning and Development; 1991. [Link]
- Amir Khosravi A. [About Population Growth (Persian)].Population Quarterly. 1992; 2:77-100. [Link]
- Leilonahari B. [Iran’s population growth momentum(Persian)]. Social Sciences Letter. 1999; 13:189-206. [Link]
- Saraei H. [Age composition, growth momentum and future population of Iran(Persian)]. Social Sciences Letter. 2000; 15:47-66. [Link]
- Koosheshi M. [The dynamics of age structure and the issue of momentum population growth in Iran (Persian)]. Journal of The Iranian Demographic Society. 2007; 3(5):81-102. [Link]
- Koosheshi M, Aghaei N. [The role of the momentum of mortality in the evolution of the age structure and aging of the Iran population (Persian)]. Journal of Population Association of Iran. 2010; 12:6-30. [Link]
- Iran Statistics Center. [Detailed results of the 1986 population and housing census (Persian)]. Tehran: Iran Statistics Center; 1986. [Link]
- Iran Statistics Center. [Detailed results of the 1996 population and housing census (Persian)]. Tehran: Iran Statistics Center; 1996. [Link]
- Iran Statistics Center. [Detailed results of the 2006 population and housing census (Persian)]. Tehran: Iran Statistics Center; 2006. [Link]
- Iran Statistics Center. [Detailed results of the 2011 population and housing census (Persian)]. Tehran: Iran Statistics Center; 2011. [Link]
- Iran Statistics Center. [Detailed results of the 2016 population and housing census (Persian)]. Tehran: Iran Statistics Center; 2016. [Link]
- Sanderson WC, Scherbov S, Gerland P. Probabilistic population aging. PLoS One. 2017; 12(6):e0179171. [DOI:10.1371/journal.pone.0179171] [PMID]
- Abbasi-Shavazi MJ. [Fertility developments in Iran from 1992 to 2016 (Persian)]. Tehran: Research Institute of Statistics; 2019.
- Fathi E. [A Perspective on Fertility in Iran from 2016 to 2019(Persian)]. Tehran: Statistical Center Portal, Population News Group; 2020. [Link]
- Eini Zeynab H, Soltani Z, Shams F, Shiri M, Islami M, Ismail M. [A multivariate study of fertility trends in Iran (Persian)]. Tehran: Statistical Research Institute; 2015. [Link]
- Noorali T, Khodamradi H, Abdollahzadeh V. [Constructing Annual Life Tables for Iran (Persian)]. Tehran: Iranian Statistical Research Institute; 2013. [Link]
- Kousheshi M, Niakan L. [Life Tables of the Country for the Years 2011 and 2012 Based on Death Registration Statistics in Iran (Persian)]. Tehran: Insurance Research Institute; 2014. [Link]
- Eini Zeynab H, Shams F, Sajadi A, Khosravi A, Zahedian A, Rezaei Z, Noorali T. [Modeling and Forecasting Mortality in Iran 1996-2021(Persian)]. Hakim Health System Research. 2015; 18(4):336. [Link]
- Koushesh M. [Life Tables of the Country for the Year 2016 Based on Death Registration Statistics in Iran (Persian)]. Tehran: Insurance Research Institute; 2018. [Link]
- Fathi E, Sharifi M. Ebrahimpour M, Zanjani H. [Major Causes of Mortality in Iran in 2016 Using Multivariate Life Tables(Persian)]. Journal of the Iranian Demographic Association. 2018; 13(26):155-85. [Link]
- Mohebi M, Sasanipour M. [Dynamics of Age Structure and Mortality in Iran: A New Method Proposal for Adjusting Mortality Rates(Persian)]. Journal of Population Association of Iran. 2020; 15(29):95-120. [DOI: 10.22034/jpai.2020.243919]
- Espenshade TJ, Tannen JBC. Population Dynamics: Momentum of Population Growth. Princeton: Princeton University; 2015. [Link]
- Kim YJ, Schoen R, Sarma PS. Momentum and the growth-free segment of a population. Demography. 1991; 28(1):159-73. [DOI:10.2307/2061341] [PMID]
- Kim YJ, Schoen R. Population momentum expresses population aging. Demography. 1997; 34(3):421-7. [DOI:10.2307/3038294] [PMID]